
2020-06-02 19:09:00
ˎ��ĺ�����ָˎ�����������ɷֵ��������u(p��ng)�r(ji��)ˎ���|(zh��)������Ҫָ��(bi��o)��ˎ��ĺ���ͨ���\(y��n)�û��W(xu��)������W(xu��)������W(xu��)������W(xu��)�ķ����y(c��)���������u(p��ng)�r(ji��)ˎ���|(zh��)������Ҫ�ֶΣ�Ҳ��ˎ���|(zh��)����(bi��o)��(zh��n)����Ҫ��(n��i)����ˎ��ĺ����y(c��)���ɷ֞�ɴ���������ڻ��W(xu��)������W(xu��)ԭ����“�����y(c��)��”�ͻ�������W(xu��)ԭ����“Ч�r(ji��)�y(c��)��”�����У�Ч�r(ji��)�y(c��)��������������z����������z������ø�����ķ��������c�(y��n)�C�^(gu��)�̸�����������������Ҫ̽ӑ���ڻ��W(xu��)������W(xu��)��“�����y(c��)��”��
ˎ�ﺬ���y(c��)���ķ���������Ҫ�������������������ζ����������V��������ɫ�V������������������������������(ji��n)�����Y(ji��)����(zh��n)�_�����������Ը�����(d��ng)����ȱ������������Ҫ�m���ڌ�(du��)�Y(ji��)����(zh��n)�_���c���ܶ�Ҫ���^�ߵ�ˎƷ�y(c��)�������V��������(ji��n)��������`���ȸߣ�������һ���Ĝ�(zh��n)�_�����������������Բ�����Ҫ�m���ڌ�(du��)�`����Ҫ���^�ߡ��ӱ����^��ķ����(xi��ng)Ŀ��ɫ�V�������t���и��`�����c�ߌ����ԣ�������һ���Ĝ�(zh��n)�_��������Y(ji��)��Ӌ(j��)����Ҫ��(du��)��Ʒ��������Ҫʹ���ڌ�(du��)�����Č������c�`����Ҫ���^�ߵď�(f��)�s��Ʒ�ĺ����y(c��)����
һ������������
������������Ҳ�еζ��������nj���֪��ȵĵζ�Һ����(bi��o)��(zh��n)���|(zh��)��Һ���ɵζ��ܵμӵ����y(c��)ˎ�����Һ�У�ֱ���ζ�Һ�еĘ�(bi��o)��(zh��n)���|(zh��)�����Q��ζ������c���y(c��)ˎ�ﷴ��(y��ng)��ȫ��ͨ�^(gu��)�m��(d��ng)����ָʾ����Ȼ�����(j��)�ζ�Һ�еζ����ĝ�ȣ�һ��Q��ζ�Һ��ȣ��ͱ����ĵ��w�e�������W(xu��)Ӌ(j��)���P(gu��n)ϵӋ(j��)������y(c��)ˎ��ĺ�����
��һ�����������������c(di��n)�cʹ�÷���
1.���������������c(di��n)
��1��������(ji��n)�����У��������Ãx���r(ji��)������������(ji��n)����������
��2�����������Ըߣ�Ӱ푱����y(c��)����ԇ�(y��n)�l���c�h(hu��n)�������^����
��3���y(c��)���Y(ji��)����(zh��n)�_��ͨ����r�±���������(du��)�`����0.2%�������m���ڌ�(du��)��(zh��n)�_��Ҫ���^�ߵ�ԇ�ӵķ�����
��4�����������Բ������(du��)�Y(ji��)��(g��u)��������P(gu��n)���|(zh��)�������ɔ_�y(c��)�����s�|(zh��)ȱ���x��������һ���m�������ɷֺ����^�ߵ�ԇ�ӵķ�����
2.������������ʹ�÷���
�������������������������c(di��n)�����V����(y��ng)���ڻ��W(xu��)ԭ��ˎ��ĺ����y(c��)�������^�ّ�(y��ng)����ˎ���Ƅ��ĺ����y(c��)����
���������������������P(gu��n)Ӌ(j��)��
1.���
ָÿ1mlҎ(gu��)����ȵĵζ�Һ���ஔ(d��ng)?sh��)ı��y(c��)ˎ����|(zh��)�������Ї�(gu��)ˎ�䡷�ú��ˣ�mg����ʾ�������õ������y(c��)���S����C�ĺ����r(sh��)��ChPҎ(gu��)����ÿ1ml��ζ�Һ��0.05mol/L���ஔ(d��ng)��8.806mg��C6H8O6���S����C����
2.�ζ��ȵ�Ӌ(j��)��ͨʽ
T��mg/ml��=m×��a/b��×M
ʽ�У�m��ζ�Һ��Ħ����ȣ�mol/L����a��b�քe��ζ�����(y��ng)ʽ�б��y(c��)ˎ���c�ζ�����Ħ����(sh��)��M�鱻�y(c��)ˎ��ĺ�Ħ���|(zh��)��������������mg��ʾ����

3.������Ӌ(j��)��
�˷��y(c��)��ˎ�ﺬ���r(sh��)������ֱ�ӵζ����g�ӵζ��ɷN��
��1��ֱ�ӵζ������������õζ�Һֱ�ӵζ����y(c��)ˎ�����t���y(c��)ˎ��İٷֺ���Ӌ(j��)�㹫ʽ��D��ʾ��

ʽ����W�ǷQȡ����V�������w�e��T�ǵζ���
��2���g�ӵζ���������������ζ�����ʣ�����ζ�����
�������V������
���V���������õIJ��L(zh��ng)��������������^(q��)���t��^(q��)�����Ãx��������ֹ���Ӌ(j��)����Ҋ(ji��n)�ֹ���Ӌ(j��)���t��ֹ���Ӌ(j��)���ɹ�ֹ���Ӌ(j��)��ԭ�����շֹ���Ӌ(j��)���Լ���ɢ��Ӌ(j��)���������V�x��
���Ї�(gu��)ˎ�䡷���d�ij��õķֹ��ȷ��У�����-��Ҋ(ji��n)�ֹ�ȷ����t��ֹ�ȷ���ԭ�����շֹ��ȷ��ȡ�
��һ������-��Ҋ(ji��n)�ֹ��ȷ�
����������190��800nm���L(zh��ng)������(n��i)�y(c��)�����|(zh��)�������������ˎ����b�e���s�|(zh��)�z��Ͷ����y(c��)���ķ�����
1.�ʲ��Ƞ�����
��һ���ĝ�ȷ�����(n��i)��ԓ���|(zh��)���յ����cԓ���|(zh��)�ĝ�Ⱥ�Һ�ӵĺ�ȳ���������Dʽ�ӣ�

2.�������c(di��n)�c�m�÷���
��1���b�e���У�����ʹ�õăx���r(ji��)���^������������(ji��n)���������ռ���
��2���`���ȸߣ������`���ȿ��_(d��)10-6g/ml���m���ڵ͝��ԇ�ӵķ�����
��3����(zh��n)�_���^�ߣ�����������(du��)�`�����2%���m���ڌ�(du��)�y(c��)���Y(ji��)���Ĝ�(zh��n)�_�����^��Ҫ���ԇ�ӵķ�����
��4���������^�����ͨ������һ���s�|(zh��)�ĸɔ_������(du��)�Y(ji��)��(g��u)��������P(gu��n)���|(zh��)ȱ���x������
3.�x��У���͙z��
��1�����L(zh��ng)�����ڭh(hu��n)����Ӱ����x���IJ��L(zh��ng)��(j��ng)����(hu��)����׃��(d��ng)�����ˑ�(y��ng)���ڌ�(du��)���Ãx���M(j��n)��ȫ��У���z������߀��(y��ng)�ڜy(c��)��ǰУ���y(c��)�����L(zh��ng)��
��2������ȵĜ�(zh��n)�_�ȣ��������t��⛵�������Һ�z����
��3���sɢ��ęz�飺�ɰ��ձ���4-2���۵�ԇ���͝�����Ƴ�ˮ��Һ����1cmʯӢ���ճ�������Ҏ(gu��)���IJ��L(zh��ng)̎�y(c��)����������(y��ng)����Ҏ(gu��)����

����ɫ�V������
ɫ�V��������һ�N���x�����������Ǹ���(j��)������б����x���|(zh��)��ɫ�V�О��������M�֏Ļ�����з��x�����x���Ԍ�(du��)���y(c��)�M���M(j��n)�з����ķ��������ɫ�V�������Ƿ����������������ֶ���ɫ�V�������֞飺
1.����(j��)���x��ʽ���
�ɷ֞鼈ɫ�V��������ɫ�V������ɫ�V��������ɫ�V������ЧҺ��ɫ�V������
2.����(j��)���xԭ�����
�ɷ֞�����ɫ�V��������ɫ�V�����x�ӽ��Qɫ�V���c��������ɫ�V�������zɫ�V��������
��һ����ЧҺ��ɫ�V����HPLC��
1.���������c(di��n)�c�m�÷�����
��1�����`���ȣ�����(j��)�z�y(c��)���IJ�ͬ��HPLC����͙z����ȿ��_(d��)10-12��10-9g/ml��
��2���ߌ����ԣ�HPLC����Ч���x��(f��)�s���|(zh��)��Ʒ���c���y(c��)�M�ֽY(ji��)��(g��u)��������P(gu��n)�s�|(zh��)��o(w��)�P(gu��n)�ɔ_�����z�y(c��)��̖(h��o)�����^�ߵČ��������Ɍ�(sh��)�F(xi��n)��(du��)���y(c��)�M�ֵ��x���ԙz�y(c��)��
��3����Ч���c���ٶȣ�HPLCͨ������10��20��犃�(n��i)���ˎ��Ķ�������������30��犃�(n��i)���ˎ���(f��)���Ƅ��ж�M��ͬ�r(sh��)�����y(c��)����Ҳ����60��犃�(n��i)���ˎ�������P(gu��n)���|(zh��)�ķ��x�cͬ�r(sh��)������
2.�y(c��)����
�����y(c��)���r(sh��)���ɸ���(j��)��ԇƷ��x���ľ��w��r�Է���e����Ӌ(j��)�㡣Ŀǰ�����(sh��)�Է���eӋ(j��)�������ÃɷN�������£�
��1����(n��i)��(bi��o)��������Ʒ�N�(xi��ng)��Ҏ(gu��)�������ܷQ��ˎ�(du��)��Ʒ�̓�(n��i)��(bi��o)���|(zh��)���քe�Ƴ���Һ����������ȡ�m��������Ƴ�У�����Ӝy(c��)���õČ�(du��)����Һ��ȡһ����ע��x����ӛ�ɫ�V�D���քe�y(c��)��ˎ�(du��)��Ʒ�̓�(n��i)��(bi��o)���|(zh��)ɫ�V����e��������ʽ��Ӌ(j��)��У������f��

ʽ����AS���(n��i)��(bi��o)���|(zh��)�ķ���e�����ߣ���AR��ˎ�(du��)��Ʒ�ķ���e�����ߣ���CS���(n��i)��(bi��o)���|(zh��)�ĝ����CR�錦(du��)��Ʒ�ĝ�ȡ�
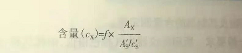
��ȡ��Ʒ�N�(xi��ng)�º��Ѓ�(n��i)��(bi��o)���ڵĹ�ԇƷ��Һ���M(j��n)����ӛ�ɫ�V�D���y(c��)����ԇƷ�б��y(c��)���|(zh��)�̓�(n��i)��(bi��o)���|(zh��)ɫ�V��ķ���e��������ʽ��Ӌ(j��)�㺬����

ʽ�У�AX�鹩ԇƷ�б��y(c��)ˎ��ķ���e�����ߣ���cX�鹩ԇƷ��Һ�ĝ�ȣ�f��У��������A'S��c'S���(n��i)��(bi��o)���|(zh��)�ķ���e�����ߣ��͝����
���Ã�(n��i)��(bi��o)�����ɱ�����ԇƷǰ̎�����M(j��n)���w�e�`�(du��)�Y(ji��)����Ӱ���
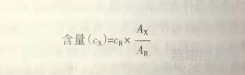
��2�����(bi��o)��������Ʒ�N�(xi��ng)�µ�Ҏ(gu��)�������ܷQ����(du��)��Ʒ��ԇƷ���Ƴ���Һ���քe����ȡһ�������M(j��n)�ӣ�ӛ�ɫ�V�D���y(c��)����(du��)��Ʒ��Һ��ԇƷ��Һ�б��y(c��)���|(zh��)�ķ���e�����ߣ�����ʽ��Ӌ(j��)�㺬����

ʽ����AX�鹩ԇƷ�б��y(c��)ˎ��ķ���e�����ߣ���AR��ˎ�(du��)��Ʒ�ķ���e�����ߣ��� CR�錦(du��)��Ʒ�ĝ����
���(bi��o)����(ji��n)������Ҫ���M(j��n)������(zh��n)�_�������l����(w��n)����������ע���������_�����M(j��n)��������(d��ng)�������(bi��o)���y(c��)�������r(sh��)�����ք�(d��ng)�M(j��n)���������h(hu��n)���Ԅ�(d��ng)�M(j��n)�����M(j��n)�Ӟ�����
����������ɫ�V����GC��
����ɫ�V�����Ú��w������(d��ng)�ࣨ�d�⣩����(j��ng)�b����䄩��ɫ�V���M(j��n)�з��x�y(c��)����ɫ�V���������|(zh��)����������⻯�������d�⎧��ɫ�V���M(j��n)�з��x�����M���Ⱥ��M(j��n)��z�y(c��)�����Ô�(sh��)��(j��)̎��ϵ�y(t��ng)ӛ�ɫ�V��̖(h��o)��
1.���������c(di��n)�c�m�÷���
������Ҫ��(y��ng)���ھ��Г]�l(f��)�Ի�����������Г]�l(f��)�Ե�ˎ�P�����P(gu��n)���|(zh��)�ķ�������ChP2015�б��V����(y��ng)���ښ����܄��y(c��)������Ҳ��(y��ng)����ˮ�֜y(c��)�������Ƅ��������м״����z�鷨�����P(gu��n)�s�|(zh��)�ęz��;S����E�Ȳ���֬�����^��(qi��ng)��ˎ�P���Ƅ��ĺ����y(c��)������
2.�y(c��)����
�֞��(n��i)��(bi��o)�������(bi��o)�������뷨�y(c��)������(n��i)��(bi��o)�������(bi��o)��ͬ��ЧҺ��ɫ�V�����@����Ҫ��B���뷨��
���ܷQȡ���y(c��)�M��(du��)��Ʒ�m�����Ƴ��m��(d��ng)��ȵČ�(du��)��Ʒ��Һ��ȡһ���������ܼ�������ԇƷ��Һ��������(j��)���(bi��o)�����(n��i)��(bi��o)���y(c��)�����y(c��)�M�ֺ������ٿ۳�����ı��y(c��)�M��(du��)��Ʒ���������ù�ԇƷ�б��y(c��)�M�ֵĺ�����
���ڼ��댦(du��)��Ʒ��Һǰ��У�����ӑ�(y��ng)��ͬ������

ʽ����cX�鹩ԇƷ�б��y(c��)�M��X�ĝ�ȣ�AX�鹩ԇƷ�б��y(c��)�M��X��ɫ�V����e����cX�����������֪��ȵı��y(c��)�M�ֵČ�(du��)��Ʒ�ĝ����Ais����댦(du��)��Ʒ�y(c��)�M��X��ɫ�V����e��
���ښ���ɫ�V�����M(j��n)����һ��H��(sh��)������pС�M(j��n)���`�������䮔(d��ng)�����ք�(d��ng)�M(j��n)�ӕr(sh��)��������ᘕr(sh��)�g���ҜصȌ�(du��)�M(j��n)����Ҳ��Ӱ������Բ��Ã�(n��i)��(bi��o)���������ˣ��������Ԅ�(d��ng)�M(j��n)�����M(j��n)�ӕr(sh��)�������M(j��n)���؏�(f��)�Ե�������ڱ��C�����`���ǰ������Ҳ�ɲ������(bi��o)��������
��(d��ng)����픿��M(j��n)�ӕr(sh��)�����ڹ�ԇƷ�͌�(du��)��Ʒ̎�ڲ���ȫ��ͬ�Ļ��|(zh��)�����ʿɲ��Ø�(bi��o)��(zh��n)��Һ���뷨���������|(zh��)Ч��(y��ng)��Ӱ�����(d��ng)��(bi��o)��(zh��n)��Һ���뷨�c�������������Y(ji��)����һ�r(sh��)����(y��ng)�Ԙ�(bi��o)��(zh��n)��Һ���뷨�Y(ji��)�����(zh��n)��
�҂���ϧ��ÿһ���ھ���ԃ���І�(w��n)�ش����Ì��I(y��)�đB(t��i)�����N�ĵķ���(w��)��
���������ܵ��҂����c����ͬ��

�����ṩ���õĺ����w�(y��n)���҂��ṩ���I(y��)�Č�����ԃ�����TǢՄ����(w��)

�P(gu��n)�ڮa(ch��n)Ʒ��ʹ�����ۺ����(w��)�ȸ��N��Ҋ(ji��n)��(w��n)�}

���N��֧�ֵ����ھS�o(h��)���҂��ṩȫ��λ360������w������(w��)��ֻ������������