
2023-05-29 10:27:35
�ܾ�֮ǰ���ƌW(xu��)�Ұl(f��)�F(xi��n)��һ��(g��)��(x��)���ӵ�ˮ���͝B��Һ����������Ѹ����ˮ��Û�����ֻ�ǝB����Ħ����ȝB����Ħ���B������(d��o)�µļ�(x��)����ˮ�����������@ô�����Ǒ�(y��ng)ԓ߀�������ęC(j��)�������^�z�����ǿƌW(xu��)��һֱ�]Ū������
1988�꣬�˵á�������(Peter Agre)�ڷ��x�t��(x��)��Ĥ��Rh���ĕr(sh��)�l(f��)�F(xi��n)һ�N�����S����С�͵����|(zh��)���������x���y(c��)�������İ�����������Ȼ���¡��DNA�����D(zhu��n)䛵�mRNA��mRNA���D(zhu��n)�RNA�����Ա��_(d��)����(y��ng)�ĵ����|(zh��)��ע�뵽����צ����ĸ��(x��)���У��l(f��)�F(xi��n)�ڵ͝B��Һ������ĸ��(x��)��Ѹ����Û������5min��(n��i)���ѣ�Ҋ�D1�������]��ע���@��(g��)mRNA����ĸ��(x��)�������]��׃������K�����_�����ڼ�(x��)��Ĥ�ϴ����D(zhu��n)�\(y��n)ˮ���خ���ͨ�����ף������҂���֪��ˮͨ�����ף�aquaporin, AQP��Ҳ�Q��ˮ���ף����@��һ��(g��)���ش�İl(f��)�F(xi��n)��Ҳ�����@����2003����Zؐ�����W(xu��)��(ji��ng)��

�D1. ע��AQP1ˮͨ������mRNA�����Ѽ�(x��)���ڵ͝B��Һ��Ѹ����Û���ϣ����]��ע��ļ�(x��)�������]��׃��
Ŀǰ�ڲ����(d��ng)����һ���l(f��)�F(xi��n)��13�Nˮͨ����������Щˮͨ������ֻ�܌�һ�Ե�ˮͨ�^������AQP1��Ҋ�D3�������������I�K������ˮ������������Щˮͨ�����������S����ͨ�^������AQP7������֬����(x��)��Ψһ��ˮ����ͨ�����ף����Ԍ����͏�֬����(x��)���D(zhu��n)�\(y��n)��ѪҺ��

�D2. ˮͨ������ʾ��D

�D3��AQP1����R�Y(ji��)��(g��u)��4��(g��)AQP1�����|(zh��)��(g��u)��һ��(g��)�ľ��w���ֲ�����֬�p���ӌ�����ÿ��(g��)ˮͨ�������ӆ��w�����Ĵ���һ��(g��)ֻ���Sˮ����ͨ�^��ͨ������
Ƥ�w��Ҳ����ˮͨ����������̖(h��o)AQP3�������_(d��)�ڱ�Ƥ���ӵĽ��|(zh��)�γɼ�(x��)���������D(zhu��n)�\(y��n)ˮ�����ͺ����ص��_(d��)��Ƥ�����M(j��n)���|(zh��)�ӵ�ˮ���������ǾS��Ƥ�wˮ�����õ�һ��(g��)�P(gu��n)�I������һ��(g��)AQP3����ÿ��犿������S30�|��(g��)ˮ����ͨ�^��ʹ��(x��)�������{(di��o)��(ji��)�����w�e�̓�(n��i)���B����Ħ����ȝB����Ħ���B���������AQP3�cƤ�w�������P(gu��n)ϵ�dz����������⾀���ؽ��٣����繯����Á�����ˮͨ�����ף����Ԍ�(d��o)�½��|(zh��)�γɼ�(x��)��Ĥ�ϵ�AQP3���_(d��)���{(di��o)���Ķ���(d��o)��Ƥ�w���������|(zh��)��ˮ�������½���Ƥ�w�����½�������AQP3�c��(x��)�����w���Լ�Ƥ�w�Ą�(chu��ng)������Ҳ�������P(gu��n)ϵ��
�������������������(x��)��Ĥ����֬�p���ӌ���һ��ˮ-��-ˮ�ĽY(ji��)��(g��u)��Ҋ�D2�����Ա��C��(x��)���ĽY(ji��)��(g��u)��(w��n)����ˮ�����^�@��Ĥ�������������ˌ�һ�D(zhu��n)�\(y��n)ˮ��ͨ�����������|(zh��)�^��(x��)��Ĥ���Ǻ����ģ����Լ�(x��)��Ĥ���и��Nͨ������Ч�D(zhu��n)�\(y��n)���|(zh��)����
�������o(h��)�w�Ļ��A(ch��)���ڻ��yƷ���҂�һֱ������ˮ�Ժ�(qi��ng)�����|(zh��)������Ԫ������������Hˮ�ɷց��j(lu��)��ˮ�������õV������(d��ng)ֲ���͵���ˮ�ɷց����]����ֹˮ��ɢʧ��
�䌍(sh��)Ƥ�w�a(b��)ˮ������ͨ�^��磬����ͨ�^��Ƥ�Ӂ��a(b��)ˮ���D4�@ʾ��Ƥ�w���ˮ���ݶ����Ļ��ӵ����|(zh��)�ӣ�ˮ�ֺ�����u������Ƥ�wͨ�^����Ƥ������ˮ��һ��(j��)һ��(j��)���f�����|(zh��)����������Ƥ�w��ˮ�ԭh(hu��n)���������yƷ��99%��ˮ�ֲ��]���M(j��n)��Ƥ�w�����҂�ƽ�r(sh��)�õı����������|(zh��)���������������ᱣ������������õ�����

�D4. Ƥ�w���ˮ���ݶ�
��ԇ�(y��n)�ѽ�(j��ng)�C����������С��5000�����|(zh��)������M(j��n)����Ƥ�����������|(zh��)����ИO�䃞(y��u)��ı��������������M(j��n)��Ƥ�w֮���������ε��iסˮ������(x��)�������ڝĭh(hu��n)���С���Ȼ��������Ҳ���@��(g��)ԭ������(d��ng)Ȼ�����������ᱣ�����M(j��n)�뼚(x��)�����鼚(x��)���ṩ�B����Ħ����ȝB����Ħ���B���������ڼ�(x��)����ˮ���߷����������|(zh��)������ֻ��ͣ���ڽ��|(zh��)�����܉��ṩһ�ӝ�ˮ�ӱ��o(h��)���������|(zh��)���c����Ӻ�С�������ʹ���������õı������á�������ͨ�^�ƌW(xu��)�Ĵ��������Ƶļ���ˮͨ�^����(sh��)�F(xi��n)�˸��õĿ�˥���ܣ�Ҳ���Ј��V���J(r��n)����
�f���@ô�࣬�҂������}�����������������@��(g��)ԭ�Ϟ��҂��a(b��)ˮ������һ��(g��)�µ�ͻ���������Լӏ�(qi��ng)��Ƥ��(x��)����ˮͨ������AQP3�ı��_(d��)���ĸ���������(qi��ng)��(x��)������(d��ng)��ˮ��������
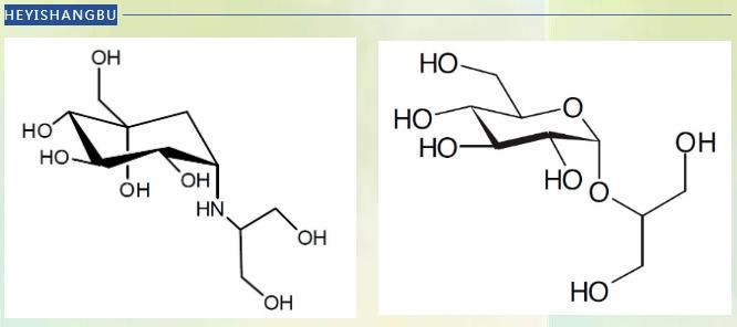
Ŀǰ����Ȼ�������b����6�N���������յĘ�(g��u)����Ҋ�D5.���� a��b��c ����(g��)��(g��u)������l(f��)�F(xi��n)���ձ�����Լ�һЩ���y(t��ng)ʳ���У���-GG�����涼�Q��GG�����������f����������d��e��f�Ę�(g��u)�̓H���F(xi��n)��һЩ�ߵ�ֲ������һЩ���B(y��ng)��(x��)������{(l��n)��(x��)���������}�{�ȗl�������w�خ��Եغϳɺͷe�� 2-��GG �������������|(zh��)���@Ҳ��Ŀǰ�ϳ�2-��GG����Ҫ;����

�D5. �Ѱl(f��)�F(xi��n)����Ȼ���������յĘ�(g��u)��
2012��ݠ�˹�����Schrader ����ͬ���о��� GG��1-��-GG��2-��-GG����Ҫ�ɷ���2-��-GG�� ��(du��)���Ƥ�wˮ�����õ�Ӱ푣������nj�(du��)ˮͨ������ (AQP3) ���_(d��)��Ӱ���ʹ��3%��GG���B(y��ng)���|(zh��)�γɼ�(x��)��24h��AQP3 mRNA ���_(d��)ƽ������ 215%��AQP3 ����ˮƽ���� 156%�������ø�������(du��)�յĽM���]��׃����

�D6.ͨ�^�ɹ��(bi��o)ӛ��AQP3�����ڼ�(x��)��Ĥ���@�Sɫ����(x��)�����@�{(l��n)ɫ��ʹ��3%��GG�����ڼ�(x��)��֮����AQP3ˮͨ�����ױ��_(d��)��������(x��)����ˮ��M��
�(y��n)�C�^2��-GG������(x��)��ˮͨ�������������Y(ji��)���@ʾ����ȿհף�0.6%��ȵ�2��-GGʹ��(x��)��ˮͨ������AQP3�ı��_(d��)������1����

�D7��0.6%��2��-GG����Ʒ1�����@��������(x��)��AQP3���ı��_(d��)��BC����Ԍ�(du��)����PC����Ԍ�(du��)��0.3mM��CaCl2��
���⣬SchraderҲ�C��(sh��)GG�܉����|(zh��)�ӣ�ʹ��ԇ���ڸ������Ƥ�w��ˮ����ʧ�@���p����������Ƥ�w�����Ϲ��������^�V��ʹ�õı�������
GG�����@��(g��)��(qi��ng)��Ĺ������Ƿ�߀��������Ч������(d��ng)Ȼ���е���
GGҲ�����{(l��n)��ͽ�ĸ�ڸ��}�����¸�����һ�N���������|(zh��)���Ա��o(h��)��(x��)��Ĥ��ø�ڸߝB����Ħ����ȝB����Ħ���B�����µĻ����������ڸߜظɺ��h(hu��n)���еď�(f��)��ݞ��˵ֿ����L�ĸɺ��ڣ��ڼ�(x��)����(n��i)�e��GG�����o(h��)��(x��)����ʧˮ������ˮ�r(sh��)��Ѹ������ˮ�ֶ��֏�(f��)���C(j��)��Ҋ�D8�������Ե�������(f��)��ݡ�����˸���������Ҳ��������˶��������Џ�(qi��ng)��Ŀ���ͱ��o(h��)��(x��)����������

�D8. ��(f��)��������^��
���^ȥ��20���������ƌW(xu��)���ѽ�(j��ng)�u(p��ng)����GG�������������|(zh��)��(du��)��Nģ��ø��Ĥ�ı��o(h��)���á�Borges ���˰l(f��)�F(xi��n)GG��(du��)����Ó��ø���ܟ�ʧ������Ҫ��������0.5M GG������������Ó��ø��50��ӟ�30min�����Ա���68%�����������|(zh��)�ğo�κλ��Ա�����Sawangwan�о���GG���o(h��)��ͬø�ڸߜغ���������еĻ�������Ҫ����������������������鵰���|(zh��)��(w��n)������GG�ڸ����^���Ќ�(du��)֬�|(zh��)�wҲ���F(xi��n)�����@�ķ�(w��n)��������
�����wԇ�(y��n)�У�Naoaki HARADA�l(f��)�F(xi��n)GG���Դ��M(j��n)IGF-1�Įa(ch��n)��������Ƥ�w��������ע��IGF-1����ȍu�����L����-1���ǙC(j��)�w��Ҫ�Ļ��Ե����������н�Ѫ������Ѫ֬���揈Ѫ�ܵ�������߀���Դ��M(j��n)��(x��)����ֳ�ֻ�����(chu��ng)���ޏ�(f��)�����M(j��n)�ǵĺϳɴ��x���̼�ܛ�Ǽ�(x��)���ϳ��خ����zԭ�����������ǰ����ǵĻ��ԣ��˼���о���GG���������ܺ͌�(du��)UV�|(zh��)��(x��)���p�����o(h��)�ޏ�(f��)������20mg/mL�ĸ��������Ռ�(du��)DPPH���ɻ����u�����ɻ���������x�����ɻ�������ʷքe�_(d��)��29.8%��80.0%��20.0%��������ݗ��ēp��ģ��������GG�A(y��)̎���ͺ�̎���ļ�(x��)������ʷքe������59.6%��54.5%���Y(ji��)������GG�������Դ��M(j��n)��(x��)����ֳ��߀�܌�(du��)����p���ļ�(x��)������һ���ı��o(h��)���ޏ�(f��)������
����ij֪��ԭ�Ϲ�˾��(du��)�����������M(j��n)���˱��^ȫ����о�����Ƥ�w�ı������⻬������������������������˥��Ƥ�w����������ꐴ��x�����M(j��n)�������ϵȸ���(g��)���涼���˜y(c��)ԇ���@ʾ����ʮ�փ�(y��u)��Ļ�������
���⣬�����������ڿ�ǻ��Ʒ��ʳƷ����Ҳ���кܺõĝ�����
Fumihito TAKENAKA ��2000��l(f��)��һƪ�����У����ý�ĸ�l(f��)�ͺϳ���GG�����Ұl(f��)�F(xi��n)����һЩ�ﻯ���|(zh��)��GG����������ǵ�0.55�����᷀(w��n)���Ը�������ɫ���ܵ��������·���(y��ng)���������Եͣ���ˮ�ԏ�(qi��ng)�������x�������ʵ͡��F(xi��n)���҂�ͨ�^GG�ĽY(ji��)��(g��u)���Կ����������ǵ�ȩ�����͵��u�������������I������ʧȥ��߀ԭ�͵�ȩ��������GG����������Ҳ���װl(f��)�������·���(y��ng)������GG���ܱ���Һ����ø��θҺ���ȵ���ø�ֽ⣬��ǻ��(x��)��������ڗl����Ҳ���a(ch��n)���������@��һ��(g��)�dz��õĿ�ǻ�a(ch��n)Ʒԭ�ϣ����H���ԾS�ֿ�ǻ��(x��)���ĝB����߀������(qi��ng)ˮͨ�����ı��_(d��)�������������˿ڸɰY��
��Dabhi����������GG�����c�����Կ�����ˎ������в��ǣ�voglibose�������ƵĽY(ji��)��(g��u)��Ҋ�D9�����c���p��������������������GG�ǝ��ڵ������ί�ˎ�������� GG �����������L�̼�����ԭ���ƺ�θ�c�������Է��涼�@ʾ���������������Ԫ�ľ��������ҿ�������(d��o)�������a(ch��n)���ߺ�����������֮GG���������@����ζ�����õĿڸ�������һ�N����ǰ;�������ʳƷ��

�D9. �����в��ǣ�voglibose����GG���ң��ĽY(ji��)��(g��u)ʾ��D
�C�ϣ���ֻ���������ˎ�ƪ�īI(xi��n)��(du��)���������չ�Ч���о����ԏ�������ձ�����аl(f��)�F(xi��n)GG�ԁ����˂�һֱ�ڰl(f��)�F(xi��n)���ĸ��N������Ҳ�e���˴������īI(xi��n)���ڑ�(y��ng)�����V�������y�a(ch��n)Ʒ����GG���鏊(qi��ng)��ı��������H�܉������˶���һ�ӱ��o(h��)��(x��)����ø�ژO�˗l���µĻ��������ҿ�������(qi��ng)ˮͨ�����ı��_(d��)��ʹ��(x��)��������ˮ�������������Ķ��ĸ�����������(x��)���Ļ�����GG����������A(ch��)�ɷ����ڎ����е��o(h��)�wƷ�����������õ��o���ӳ���
ע��GG�ڳ�ʼ�����Ч���ϣ����ܕ�(hu��)���ڸ��ͺ������������䱣��������w�F(xi��n)���L�ڵ�ʹ����������(qi��ng)��(x��)����ˮͨ�����ױ��_(d��)�����o(h��)��(x��)���������M(j��n)������(qi��ng)Ƥ�w�Ŀ�������˥�������ϻ��ȸ��N������
�f���@ô�࣬�҂�֪���˼�ʹ��Ȼ�ĸ���������Ҳ�кܶ�N�Y(ji��)��(g��u)�����W(xu��)�ϳɵĮa(ch��n)���(hu��)����(f��)�s����Ŀǰ�о������Ǧ�-GG�ž��Џ�(qi��ng)����������ԣ�����(qi��ng)AQP3�ı��_(d��)�����f���@��(g��)�a(ch��n)Ʒ����Ҫ��ָ��(bi��o)���ڦ�-GG�ļ��������˫@ȡ�@��(g��)����������ԵĘ�(g��u)�ͣ��ƌW(xu��)�����˴�����Ŭ������ʹ��2020-2021�겻������ĕr(sh��)�g��(n��i)��Ҳ��ʮ��ƪ��ˮƽՓ���о���-GG�ĺϳɣ��ٶȌW(xu��)�g(sh��)������Glucosylglycerol�������r(sh��)�g�������У�����Ҋ�@��(g��)ԭ�Ϸdz����м��g(sh��)�������@Ҳ���@��(g��)ԭ�����@��(g��)�Ј��ϱ��^��y��ԭ����
�҂���ϧ��ÿһ���ھ���ԃ���І��ش��Ì��I(y��)�đB(t��i)�����N�ĵķ���(w��)��
���������ܵ��҂����c����ͬ��

�����ṩ���õĺ����w�(y��n)���҂��ṩ���I(y��)�Č�����ԃ�����TǢՄ����(w��)

�P(gu��n)�ڮa(ch��n)Ʒ��ʹ�á��ۺ����(w��)�ȸ��N��Ҋ���}

���N��֧�ֵ����ھS�o(h��)���҂��ṩȫ��λ360������w������(w��)��ֻ������������